logo
  |  ENGLISH
 
 
  企 业 简 介
  产 品 介 绍
  企 业 荣 誉
  在 线 定 购
  联 系 我 们
  返 回 首 页
 
产品介绍
醋酸盐类
磷酸盐类
染料中间体类
无机产品类
农药中间体类
 
产品介绍
您现在的位置:首页 > 产品介绍  
 
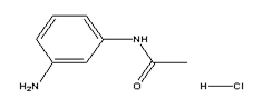
间氨基乙酰苯胺盐酸盐

品名:间氨基乙酰苯胺盐酸盐
CAS NO.:621-35-2
分子式:C8H10N2O·HCl
分子量:186.641
结构图:

No.

指标

工业级

1.

含量 ≥

93%

2

纯度 ≥

98%

3

游离间苯二胺 ≤

0.8%

4

双乙酰物 ≤

1.5%

5

水不溶物 ≤

1%

包装:25kg塑料编织袋

 

中国江苏无锡市惠山区钱皋路1号(无锡市高桥纺织印染公司内)
邮 编:214045
总经理:丁克新
电 话:0510-83128653、18151510672
传 真:0510-83120116
Http:www.wuxifeipeng.com
Email: wuxi@feipengchem.com

 
 
无锡飞鹏精细化工有限公司 版权所有(C)2006  网络支持 中国化工网 全球化工网 生意宝 著作权声明 【交易平台】